Las interacciones que relacionan a todas las especies de plantas con flor de un mismo territorio con los animales que las polinizan pueden considerarse, metafóricamente, como una compleja red. En esa red, cada especie de planta está unida a todas las especies de insectos que la polinizan y cada insecto está unido a cada especie de planta que poliniza. Se habla así de la red de interacciones planta-polinizador. En las últimas dos décadas se ha hecho un gran esfuerzo por entender esa compleja red de interacciones entre las plantas con flores y sus polinizadores. Se han documentado numerosas redes de interacciones de este tipo, pero salvo contadas excepciones solamente se han considerado los polinizadores diurnos. No obstante, las polillas son conocidos polinizadores nocturnos y su papel en las redes de interacciones planta-polinizador es prácticamente desconocido.
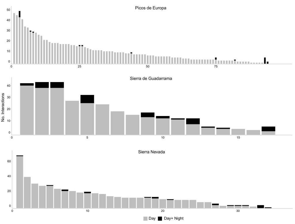
Hemos realizado un estudio con el objetivo de entender si los patrones generales de la red de interacciones que se deducen a partir del estudio de polinizadores diurnos se ven modificados al tener en cuenta también esa parte nocturna que se ha dejado de lado. Para ello, estudiamos las interacciones de polinización en tres zonas de alta montaña, situadas en el norte (Picos de Europa), en el centro (Sierra de Guadarrama) y en el sur (Sierra Nevada) de la Península Ibérica. En cada una de ellas, a lo largo de todo el periodo de floración, se anotaron meticulosamente los polinizadores de cada especie de planta durante el día. Además, se utilizaron trampas de luz por la noche para atraer a las polillas, que se capturaron individualmente para extraer el polen que portaban. Mediante una biblioteca de polen recogido de las plantas de cada zona, se pudo identificar qué especies de plantas habían visitado las polillas. En total, se estudiaron más de 140 especies de plantas y más de 300 polinizadores, con más de 600 horas acumuladas de observación en el campo.

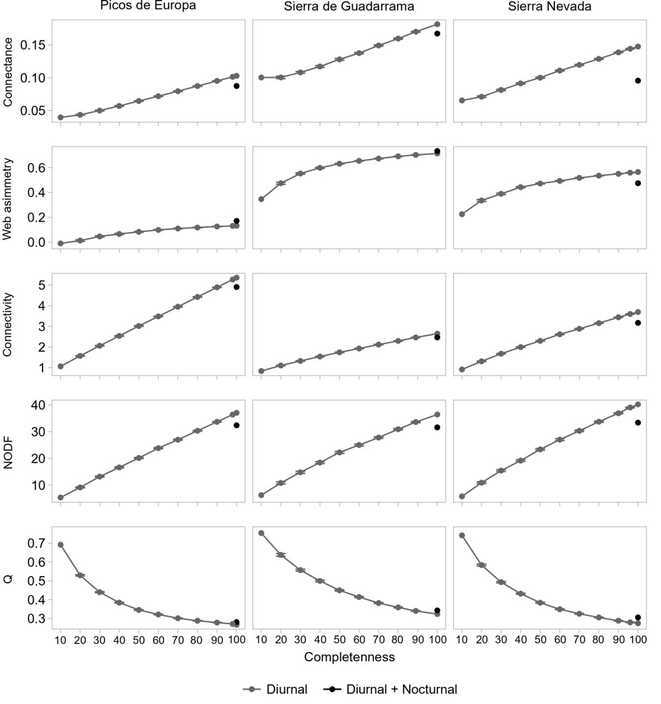
Obtuvimos dos resultados importantes. El primero es que muchas plantas que aparentemente tienen flores adaptadas para atraer a polinizadores diurnos también son visitadas por polinizadores nocturnos. En los estudios de polinización tradicionales se están perdiendo ese lado nocturno de la polinización. El segundo es que la estructura que conforman las interacciones de polinización se ve modificada al añadir ese componente nocturno. Además, lo hace de un modo peculiar, que difiere de lo que supondría añadir más polinizadores diurnos. Por tanto, no entenderemos las redes de interacciones de polinización a menos que tengamos en cuenta el lado nocturno. Esto es relevante porque la estructura de una red de interacciones define, entre otras cosas, su robustez ante pequeños cambios, es decir, si la red completa es resistente o sensible a pérdidas puntuales de especies, que podrían provocar un efecto de extinción en cascada de otras especies.

Con contadas excepciones, no se ha examinado la relevancia de los polinizadores nocturnos en la mayoría de los ecosistemas. No obstante, los polinizadores nocturnos también se enfrentan a perturbaciones humanas: algunas específicas, como la contaminación lumínica; otras compartidas con los polinizadores diurnos, como la degradación y destrucción de hábitats. En medio de una crisis global de los polinizadores, nuestro estudio señala que es necesario no olvidarse de los polinizadores nocturnos y entender mejor su papel global en la polinización.
Autores:
Yedra García, Luis Giménez-Benavides, José M. Iriondo,
Carlos Lara-Romero, Marcos Méndez, Javier Morente-López, Silvia Santamaría
Referencia:
1. García Y., Giménez-Benavides L., Iriondo J. M., Lara-Romero C., Méndez M., Morente-López J. & Santamaría S. (2024). Addition of nocturnal pollinators modifies the structure of pollination networks. Scientific Reports 14: 1226.
La fotografía de portada muestra una polilla nocturna, Apamea furva, polinizando Silene ciliata (autor: Luis Giménez Benavides). Tanto la Figura 1 como la Figura 2 se han extraído del artículo García et al. (2024).
